Ellipsograaf | Constructie | Bewijs ][ Kegelsneden | Macro's voor kegelsneden | Cabri
| figuur 8a |  | figuur 8b |  | 
Twee stangen zijn in het punt B scharnierend aan elkaar verbonden. In het punt E is een
schrijfstift bevestigd.
Het eindpunt A van de ene stang is scharnierend bevestigd in de oorsprong. Het punt D van
de andere stang kan alleen horizontaal worden bewogen langs een lat KL..
In het "Museo
Universitario di Storia Naturale e della Strumentazione Scientifica" te Modena
(Itali�) bevindt zich ook een dergelijk apparaat (zie figuur 9). 
| figuur 9 |  | 
Constructie
We kunnen in Cabri een model van deze ellipsograaf maken.
In figuur 8a kan het punt D op KL precies de lengte van AB+BD afleggen.
De maximale lengte van KL is dus 4 . AB. 
| figuur 10 |  | 
De ellips wordt nu bepaald door de punten E en E, als het punt D het lijnstuk KL
doorloopt.
Nb.
Cabri tekent ook een lijnstuk door A loodrecht op de lijn KL. 
Klik hier  voor een animatie
bij deze constructie.
 voor een animatie
bij deze constructie.
Bewijs
Ook nu is een bewijs op zijn plaats.
Stel de co�rdinaten van het punt D (op de lijn KL) zijn (2d,0).
Stel X ligt op BD, zodat DA=ka (zie figuur 11): 
| figuur 11 |  | 
Voor de co�rdinaten van het punt B hebben we dan:
   
Hieruit volgt dan  .
.
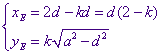
Voor het punt E volgt hieruit, vanwege de verhouding k : 1 op het lijnstuk DB:
(8.1) ...  waaruit dus volgt:
waaruit dus volgt:  .
.
Eliminatie van d uit deze laatste betrekkingen levert dan de vergelijking van de ellips:
    of
of  .
.
Opmerkingen
[1]
Voor k = 1 (het punt E valt dan samen met B) gaat deze vergelijking in:
   
Dit is de vergelijking van de cirkel met middelpunt A en straal a.
[2]
Voor k = 2 is de betrekking niet gedefinieerd.
In dit geval geldt  ; zie betrekking (8.1).
; zie betrekking (8.1).
De meetkundige plaats van de punten E is in dit geval dus de y-as.
[einde Opmerkingen]
[ellips8.htm] laatste wijziging op: 08-06-2000