Inleiding | Bewijs | Omgekeerde steling ][ Inversie | Ptolemaeus | Meetkunde
1. Inleiding
De bedoelde stelling luidt:
| Stelling van
    Casey Raken vier cirkels C1, C2, C3, C4 alle uitwendig aan dezelfde cirkel C, dan is t13t24 = t12t34 + t14t23 waarbij t ij de lengte is van het uitwendige gemeenschappelijk raaklijnstuk van de cirkels Ci en Cj . | 
| figuur 1 |  | 
Bij het bewijs van de stelling gebruiken we de volgende
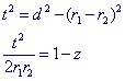
| Hulpstelling Is t het gemeenschappelijk raaklijnstuk van twee cirkels met stralen r1 en r2, dan is het getal c = t / �(r1r2) invariant bij inversie. | 
Bewijs: zie figuur 2.
| figuur 2 |  | 
In de driehoek in figuur 2a geldt in de driehoek (volgens de cosinusregel):
   d2 = r12 + r22
- 2r1r2 cos j
Dus:
   
De uitdrukking voor z heeft ook betekenis als de beide cirkels elkaar niet
snijden (z is dan natuurlijk niet de cosinus van een re�le
hoek).
Bij inversie is de waarde van z invariant. Immers:
Kiezen we een punt van de machtlijn van de beide cirkels als centrum van inversie, en is m
de macht van dat punt tov. beide cirkels en k de inversiemacht, dan is de
gelijkvormigheidsfactor gelijk aan k2/m.
De uitdrukking voor z is homogeen kwadratisch. Waaruit het gestelde omtrent z
volgt. 
In figuur 2b is vinden we dan, samen met de uitdrukking voor z:
   
z verandert niet bij inversie, dus ook c = t / �(r1r2)
verandert niet bij inversie. � 
2. Bewijs van de stelling
We geven een tweetal bewijzen:
   2.1. Bewijs met inversie
   2.2. Bewijs zonder inversie
2.1. Bewijs met inversie
Zie hiervoor figuur 3.
| figuur 3 |  | De cirkel C gaat bij de inversie met inversiecirkel I, waarvan het
    middelpunt op C ligt over in een rechte lijn, waaraan de 4 beeldcirkels van Ci
    raken. De raakpunten zijn Ai' en de stralen van deze cirkels ri'. Volgens
    de stelling van Ptolemaeus geldt in vierhoek A1A2A3A4: | 
   
Wegens de invariantie van tij' / �(ri'rj')
-zie de hulpstelling in paragraaf 1- is dus, bij
vermenigvuldiging met �(r1r2r3r4)
   t13t24 = t12t34 + t14t23
waarmee de stelling bewezen is. � 
Opmerking
De stelling van Casey is heeft de stelling van Ptolemaeus als
bijzonder geval, namelijk als r1= r2= r3= r4 = 0.
[einde Opmerking]
2.2. Bewijs zonder inversie
Zie hiervoor figuur 4.
| figuur 4 |  | We bekijken de cirkels C (straal R), C1 (straal r1)
    en C2 (straal r2). We stellen C1C2 = d12 en hoek C1CC2 = j. Nu is | 
De stelling van Casey volgt nu door toepassing van de stelling van Ptolemaeus, met gebruikmaking van bovenstaande uitdrukkingen voor t12, t13, ..... , t34 op de koordenvierhoek A1A2A3A4. �
3. Omgekeerde stelling
De omgekeerde stelling van Casey (we geven deze zonder bewijs) geldt eveneens. Dus:
| Stelling Als voor vier cirkels C1, C2, C3, C4 geldt t13t24 = t12t34 + t14t23 waarbij t ij de lengte is van het uitwendige gemeenschappelijk raaklijnstuk van de cirkels Ci en Cj , dan raken de vier cirkels alle uitwendig aan dezelfde cirkel C. | 
Maar er kan ook sprake zijn van inwendige raking van een of meer van de cirkels Ci
aan de cirkel C. Ook in dit geval blijft de stelling geldig.
Echter, met moet dan bij twee elkaar op verschillende wijze rakende cirkels de uitwendige
raaklijn t ij vervangen door de inwendige
gemeenschappelijk raaklijn v ij.
Als t (respectievelijk v) niet bestaat kunnen we toch, als hierboven (in het bewijs zonder inversie) de uitdrukking (1) gebruiken:
   (t12)2 = (d12)2 - (r1-r2)2 
Er treden dan echter wel ingewikkelde tekenkwesties op in de algemene formulering:
t12t34 � t13t24 � t14t23 = 0
We kunnen dan een bijzonder gevolg van de omgekeerde stelling formuleren, namelijk de stelling van Feuerbach.
Gevolg
| Stelling (stelling van Feuerbach) Als C1, C2, C3 de uitcirkels zijn van een driehoek en C4 is de incirkel van die driehoek, dan is er een cirkel C, waaraan C1, C2, C3 uitwendig en C4 inwendig raakt. | 
Bewijs:
Voor de in- en aangeschreven cirkels van de driehoek met zijden a, b, c
geldt:
t 12 = a + b, v 34 = a - b,
..... .
Nu hebben we
   
waaruit we volgens de algemeen geformuleerde omgekeerde stelling van Casey kunnen
concluderen, dat er dus een cirkel C bestaat die inwendig aan C4 en uitwendig
aan C1, C2, C3 raakt: de cirkel
van Feuerbach (negenpuntscirkel)! �  
[casey.htm] laatste wijziging op: 21-08-1999